题目:Enhanced selective removal of lead from battery industry wastewater using MoS2@PbCO3 composite seeds via a nucleation crystallization pelleting process
发表时间:2025年3月
第一作者:王亚东 博士研究生
通讯作者:金鹏康 教授
创新点:
1. 开发了MoS2@PbCO3复合晶种,兼具二硫化钼的高选择性与碳酸铅的结构导向性,解决了铅酸电池废水中多离子共存体系选择性难题;
2. 优化NCP工艺参数实现了铅离子的异相结晶主导,较传统化学沉淀法污泥量减少90%以上,产物纯度提升至工业级;
3. 通过CP2K计算及多尺度表征(XPS、QCM-D等),揭示了选择性富集的界面作用机制(范德华力为主导),为设计高选择性晶种提供了理论依据;
4. 工艺在复杂水质(含SO42-/Cl-、pH/温度波动)中表现稳定,为铅酸电池废水“资源-环境”协同治理提供工业化解决方案。
图文摘要:

文章简介:
铅作为重要的战略性金属资源,在我国新能源产业及新型电力系统建设中发挥着不可替代的作用。随着"双碳"战略的深入推进,铅酸电池在电动汽车、可再生能源储能等领域的应用规模持续扩大,国家发改委《"十四五"循环经济发展规划》明确提出要加强退役动力电池循环利用。然而,传统铅矿开采面临资源品位下降、生态环境破坏等问题,全球已探明铅矿储量仅可满足约30年需求。与此同时,我国每年产生的废旧铅酸电池超过300万吨,不规范拆解产生的含铅废水对土壤及地下水造成持久性污染,仅2022年就引发多起血铅超标公共卫生事件。现有铅回收技术普遍存在化学药剂消耗量大、重金属共沉淀严重等缺陷,难以实现废水中铅离子的高效选择性回收。开发新型铅资源回收技术,既是保障国家战略资源安全的关键举措,更是破解"铅污染-资源浪费"恶性循环的治本之策,对推动循环经济发展和生态环境治理具有双重战略价值。
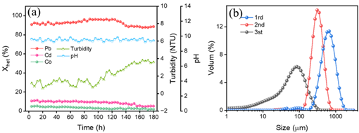
针对含铅废水净化与铅资源高效回收的双重需求,本研究创新性开发了基于MoS2@PbCO3复合晶种的核晶造粒工艺(NCP)。通过耦合晶种特异性诱导与水力流化调控,显著强化了Pb2+的异相成核效率,污泥产率较传统化学沉淀法降低90%以上(图2)。在180小时连续运行中,系统表现出优异的稳定性与选择性:Pb2+以碳酸铅形式的总回收率稳定于94.3%,而共存离子Co2+与Cd2+的去除率均低于10%(图3)。微观表征表明,造粒体在运行后期形成分级多孔结构(孔隙率提升31%)(图4),进一步通过界面传质强化了Pb2+的选择性捕获。结合多尺度表征与理论计算,揭示了Pb2+回收的分子机制:MoS2表面硫空位对Pb2+的选择性富集能力(-0.124 eV)显著优于Co2+(+1.762 eV)与Cd2+(+0.284 eV)(非自发)(图5),且分布系数(Kd~7.2×107 mL/g)高3个数量级,表明Pb2+的富集由硫-铅特异性配位与PbCO3异相成核协同驱动(图6)。该研究为铅酸电池废水提供了“回收-减污”协同增效的解决方案,并为高选择性金属回收材料的理性设计提供了新范式。

图1 铅专用晶种设计合成及表征

图2 NCP工艺铅离子选择性回收性能分析

图3 NCP工艺连续运行稳定性评估

图4 造粒体表观形貌分析

图5 造粒体组成成分解析

图6 核晶造粒铅资源回收机制解析