近日,碳污协同控制与资源化创新团队在污水管网管材对微生物代谢的影响以及沉积物的分层侵蚀和迁移机制方面取得新进展,相关成果分别以《The Sewer Advances: How to Select Eco-Friendly Pipe Materials for Environmental Protection》、《A New Perspective of Sediment Layering Scour and Migration Under the Coupled Effects of Particle Distribution and Bio-viscosity–Cavitation Erosion》为题发表在环境科学领域著名期刊Science of The Total Environment (IF = 8.2)。金鹏康教授为论文通讯作者,博士后石烜为论文第一作者,研究得到了国家自然科学基金资助。
引领污水管网环保材料创新选择的新趋势
题目:The Sewer Advances: How to Select Eco-Friendly Pipe Materials for Environmental Protection
发表时间:2024年9月
第一作者:石烜 博士后
通讯作者:金鹏康 教授
创新点
(1) 系统比较了不同管道材料对生物膜形成和微生物群落结构的影响
(2) 通过宏基因组学揭示管道材料对碳、硫代谢路径中关键酶基因的影响
(3) 提出HDPE管道在减少污水中有毒气体生成方面的环境优势
(4) 为污水管道设计和材料选择提供了科学依据和应用建议
图文摘要

文章简介
本研究深入探讨了污水管网中不同管道材料对微生物生物膜形成及碳、硫代谢的影响。通过实验,我们比较了高密度聚乙烯(HDPE)、球墨铸铁(DIP)和混凝土(CP)三种常见管道材料在污水输送系统中的表现,发现它们在支持微生物生长和维持生物膜稳定性方面存在显著差异。研究表明,管道材料的不同特性,如表面粗糙度和疏水性,直接影响了微生物在管道内壁的附着和生长,从而对生物膜的厚度、结构及代谢能力产生了重要影响。具体而言,CP管道上的生物膜最厚,微生物种类最丰富;而HDPE管道的生物膜较薄,微生物多样性也相对较低。这些差异导致了管道内氧化还原电位(ORP)的变化,从而影响了厌氧微生物的生长及碳、硫代谢活动。
通过使用宏基因组学技术,本文深入分析了不同管道材料对碳、硫代谢路径中关键酶基因表达的影响。结果显示,HDPE管道内的H2S和CH4生成能力显著低于DIP和CP管道,这意味着在减少污水输送过程中有毒气体生成方面,HDPE管道可能具有一定的环境优势。相比之下,CP和DIP管道更容易支持复杂的碳、硫代谢,可能导致更高的甲烷和硫化氢生成,这对管道的耐久性和环境安全构成潜在威胁。
基于这些发现,建议在污水管网设计中优先考虑使用HDPE管道,因为它不仅能减少有害气体的产生,还能帮助维持污水输送过程中的水质稳定性。当然,我们也意识到,在未来的实际应用中,还需要进一步研究不同管道材料在更长时间和更大规模下的表现,以便优化污水管网的设计和管理。
总之,这篇文章为污水处理系统中的管道材料选择提供了新的见解和科学依据,特别是在环境保护和管道寿命管理方面,具有重要的参考价值。

图.1不同管材的生物膜差异

图.2不同管材在不同时间时的扫描电镜图


图.3管道中细菌和古菌的相对丰度

图.4不同管道材料中参与碳和硫循环的微生物的相对丰度


图.5碳、硫代谢相关的KEGG途径

图.6不同管道材料下的碳、硫代谢循环及微生物群落响应的过程
污水管网中沉积物分层侵蚀与迁移机制研究
题目:A New Perspective of Sediment Layering Scour and Migration Under the Coupled Effects of Particle Distribution and Bio-viscosity–Cavitation Erosion
发表时间:2024年9月
第一作者:石烜 博士后
通讯作者:金鹏康 教授
创新点
(1) 提出了沉积物侵蚀的粒径-生物粘性耦合机制
(2) 定量分析生物粘性对沉积物侵蚀的影响
(3) 结合生物粘性与空蚀效应解释沉积物迁移规律
(4) 提供了改进的剪应力公式预测沉积物行为
图文摘要

文章简介
本研究围绕污水管网中的沉积物分层侵蚀与迁移机制展开,重点探讨了粒径分布、生物粘性和空蚀效应的综合作用。污水管网内的沉积物通常分为多个层次,不同层次在物理和生物因素的共同作用下,表现出不同的抗侵蚀特性。通过实验和理论分析,研究系统地揭示了这些因素如何影响沉积物的稳定性和迁移行为。
首先,研究分析了沉积物在管道内的粒径分布及其对抗剪应力的影响。通常,较大的颗粒集中在沉积物的底层,而较小的颗粒和有机物质则位于上层。这种分布模式使得各层沉积物在水流冲刷时具有不同的抗侵蚀能力。研究还发现,微生物在沉积物中的分布和代谢活动显著影响了沉积物的稳定性。微生物通过分泌胞外聚合物(EPS),增强了颗粒之间的粘合力,从而提高了沉积物的抗侵蚀性能。同时,微生物代谢产生的气体如H2S和CH4引发了沉积物内部的空蚀现象,进一步影响了沉积物的结构和迁移特性。
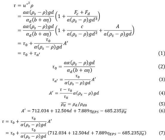
基于这些发现,研究提出了一种新的耦合机制模型,将粒径分布、生物粘性和空蚀效应整合在一起,重新定义了剪应力的影响系数
,并通过实验验证了模型的准确性。结果表明,在沉积物迁移过程中,物理和生物因素相互作用,共同决定了沉积物的抗冲刷性能。这一模型的提出不仅加深了对沉积物迁移规律的理解,也为污水管网的设计和管理提供了新的科学依据。
总的来说,本研究在揭示污水管网中沉积物侵蚀与迁移机制方面取得了重要进展,特别是生物因素在其中的关键作用,为未来污水管网的优化设计和管理提供了理论支持。

图.1 分层沉积物中碳、氮和磷污染物的浓度分布

图.2 分层沉积物中EPS的变化

图.3 (a)不同侵蚀速度和流动剪切作用下的粒径分布;(b)分层沉积物的固有黏度系数;(c)物理-生物粘度Shields曲线

图.4 物理-生物因素耦合影响下的沉积物冲刷启动临界剪切力公式