近日,碳污协同控制与资源化创新团队在渗滤液处理方面取得新进展,相关成果以《Novel use of the electrocatalytic oxidation process with Fe-DSA dual anode configuration for leachate treatment: Significance of in situ ferrate generation》为题发表于环境科学与生态学领域著名期刊Journal of Cleaner Production (IF=11.1)。金鹏康教授为论文通讯作者,金鑫教授为论文第一作者,研究得到了国家自然科学基金的资助。
Fe-DSA双阳极配置电催化氧化工艺在渗滤液处理中的新应用:原位高铁酸盐生成的重要性
题目:Novel use of the electrocatalytic oxidation process with Fe-DSA dual anode configuration for leachate treatment: Significance of in situ ferrate generation
发表时间:2024年5月
第一作者:金 鑫 教授
通讯作者:金鹏康 教授
创新点:
· 构建了高铁酸盐原位生成的Fe-DSA双阳极电催化氧化工艺
· 实现了渗滤液中COD和氨氮的同步高效去除
· 由于木质素、单宁化合物和含硫有机物的强化去除,渗滤液的可生化性得以提升
· 高价铁氧化、活性氯氧化、•OH氧化和混凝构成了Fe-DSA双阳极电催化氧化工艺中有机物的多元去除途径
图文摘要:

文章简介:
垃圾中转站产生的渗滤液中含有大量的溶解性有机物、氨氮、重金属、盐和其他污染物。生物处理是常用的渗滤液处理技术,然而,高浓度的有机物和氨氮会影响微生物活性,限制了单一生物处理技术对渗滤液的处理。因此,开发渗滤液的有机物和氨氮同步去除预处理技术对提高渗滤液的可生化性具有重要意义。
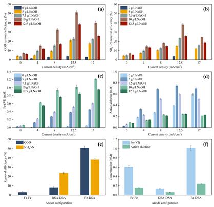
本研究构建了Fe-DSA双阳极配置的电催化氧化工艺(ECO),通过DSA阳极将渗滤液中的Cl-转化为活性氯,活性氯与Fe阳极产生的Fe(OH)3作用原位生成Fe(VI),实现了渗滤液中COD和氨氮的同步高效去除,在最佳条件下,COD去除率达50.94%,氨氮去除率达38.11%(图1)。在Fe-DSA双阳极配置的ECO工艺中,木质素、单宁化合物以及具有生物毒性的含S化合物的转化和去除提高了渗滤液的可生化性(图2和图3)。
在ECO工艺中,一方面,原位生成的Fe(VI)可分解产生氧化能力更强的Fe(IV)和Fe(V),强化了高价铁氧化过程;另一方面,参与Fe(VI)生成的活性氯也具有很强的氧化能力,可以去除氨氮以及选择性地与有机物反应。此外,Fe-DSA双阳极的存在强化了H2O电解产生•OH的过程,由Fe(VI)分解和Fe阳极溶解产生的氧化铁、无定形Fe-(oxy)和无定形Fe(OH)3强化了有机物的混凝去除过程(图4)。在ECO工艺中,高价铁氧化、活性氯氧化、•OH氧化和混凝对有机物去除的贡献分别为62.77%、14.60%、16.79%和5.84%(图5)。高价铁氧化在有机物去除和可生化性提高中起主导作用,而氧化能力更强的Fe(IV)和Fe(V)是高价铁氧化的主要活性物质。高价铁氧化和活性氯氧化、•OH氧化及混凝作用构成了Fe-DSA双阳极配置的ECO工艺中有机物的多元去除途径。

图1 不同反应条件下ECO工艺中污染物去除效率和活性物种浓度

图2 不同反应条件下ECO工艺处理后渗滤液的可生化性

图3 双阳极配置的ECO工艺作用下渗滤液中化合物的转化和去除

图4 Fe-DSA双阳极配置的ECO工艺中Fe物种和O物种占比

图5 Fe-DSA双阳极配置ECO工艺的有机物多元去除途径

原文链接:https://doi.org/10.1016/j.jclepro.2024.142490